| term | estimate | std.error | statistic | p.value |
|---|---|---|---|---|
| (Intercept) | -14.676 | 1.881 | -7.804 | 0.000 |
| islandDream | -0.892 | 0.359 | -2.481 | 0.013 |
| islandTorgersen | 18.132 | 822.821 | 0.022 | 0.982 |
| bill_depth_mm | 0.836 | 0.113 | 7.416 | 0.000 |
Prof. Maria Tackett
Nov 09, 2022
Aaditya’s office hours permanently moved to Wed 6 - 8pm
See Week 11 activities
Let’s take a look at one of the models from Lab 06.
| term | estimate | std.error | statistic | p.value |
|---|---|---|---|---|
| (Intercept) | -14.676 | 1.881 | -7.804 | 0.000 |
| islandDream | -0.892 | 0.359 | -2.481 | 0.013 |
| islandTorgersen | 18.132 | 822.821 | 0.022 | 0.982 |
| bill_depth_mm | 0.836 | 0.113 | 7.416 | 0.000 |
Interpret the coefficient of bill_depth_mm in terms of the odds a penguin is from Adelie species.
Interpret the coefficient of islandDream in terms of the odds a penguin is from Adelie species.
03:00
openintro::emailThese data represent incoming emails for the first three months of 2012 for an email account.
spam - Indicator for whether the email was spam.spam, to_multiple, from, cc, sent_email, time, image, attach, dollar, winner, inherit, viagra, password, num_char, line_breaks, format, re_subj, exclaim_subj, urgent_subj, exclaim_mess, number.Click here for more detailed information on the variables.
# Fix random numbers by setting the seed
# Enables analysis to be reproducible when random numbers are used
set.seed(1109)
# Put 75% of the data into the training set
email_split <- initial_split(email)
# Create data frames for the two sets
email_train <- training(email_split)
email_test <- testing(email_split)The sample is unbalanced with respect to spam.
Create a recipe for feature engineering steps to be applied to the training data
Fit the model to the training data after these steps have been applied
Using the model estimates from the training data, predict outcomes for the test data
Evaluate the performance of the model on the test data
# A tibble: 21 × 4
variable type role source
<chr> <chr> <chr> <chr>
1 to_multiple nominal predictor original
2 from nominal predictor original
3 cc numeric predictor original
4 sent_email nominal predictor original
5 time date predictor original
6 image numeric predictor original
7 attach numeric predictor original
8 dollar numeric predictor original
9 winner nominal predictor original
10 inherit numeric predictor original
11 viagra numeric predictor original
12 password numeric predictor original
13 num_char numeric predictor original
14 line_breaks numeric predictor original
15 format nominal predictor original
16 re_subj nominal predictor original
17 exclaim_subj numeric predictor original
18 urgent_subj nominal predictor original
19 exclaim_mess numeric predictor original
20 number nominal predictor original
21 spam nominal outcome original
Recipe
Inputs:
role #variables
outcome 1
predictor 20
Operations:
Variables removed from, sent_email
Recipe
Inputs:
role #variables
outcome 1
predictor 20
Operations:
Variables removed from, sent_email
Date features from time
Variables removed time
Recipe
Inputs:
role #variables
outcome 1
predictor 20
Operations:
Variables removed from, sent_email
Date features from time
Variables removed time
Cut numeric for cc, attach, dollar
Recipe
Inputs:
role #variables
outcome 1
predictor 20
Operations:
Variables removed from, sent_email
Date features from time
Variables removed time
Cut numeric for cc, attach, dollar
Dummy variables from all_nominal(), -all_outcomes()
Variables that contain only a single value
Recipe
Inputs:
role #variables
outcome 1
predictor 20
Operations:
Variables removed from, sent_email
Date features from time
Variables removed time
Cut numeric for cc, attach, dollar
Dummy variables from all_nominal(), -all_outcomes()
Zero variance filter on all_predictors()
Remember: Workflows bring together models and recipes so that they can be easily applied to both the training and test data.
══ Workflow ════════════════════════════════════════════════════════════════════
Preprocessor: Recipe
Model: logistic_reg()
── Preprocessor ────────────────────────────────────────────────────────────────
6 Recipe Steps
• step_rm()
• step_date()
• step_rm()
• step_cut()
• step_dummy()
• step_zv()
── Model ───────────────────────────────────────────────────────────────────────
Logistic Regression Model Specification (classification)
Computational engine: glm
# A tibble: 27 × 5
term estimate std.error statistic p.value
<chr> <dbl> <dbl> <dbl> <dbl>
1 (Intercept) -1.24 0.274 -4.51 6.43e- 6
2 image -1.36 0.679 -2.00 4.59e- 2
3 inherit 0.352 0.185 1.90 5.69e- 2
4 viagra 1.96 40.6 0.0482 9.62e- 1
5 password -0.941 0.387 -2.43 1.51e- 2
6 num_char 0.0572 0.0257 2.23 2.58e- 2
7 line_breaks -0.00554 0.00147 -3.77 1.66e- 4
8 exclaim_subj -0.245 0.303 -0.807 4.19e- 1
9 exclaim_mess 0.00916 0.00195 4.69 2.67e- 6
10 to_multiple_X1 -2.91 0.388 -7.50 6.37e-14
11 cc_X.1.68. -0.105 0.446 -0.236 8.14e- 1
12 attach_X.1.21. 2.33 0.385 6.06 1.37e- 9
13 dollar_X.1.64. 0.0136 0.241 0.0565 9.55e- 1
14 winner_yes 2.46 0.480 5.12 3.02e- 7
15 format_X1 -1.02 0.173 -5.88 4.07e- 9
16 re_subj_X1 -2.93 0.436 -6.72 1.81e-11
17 urgent_subj_X1 4.37 1.25 3.51 4.54e- 4
18 number_small -0.728 0.178 -4.08 4.45e- 5
19 number_big 0.261 0.255 1.03 3.05e- 1
20 time_dow_Mon 0.123 0.320 0.386 7.00e- 1
21 time_dow_Tue 0.309 0.294 1.05 2.94e- 1
22 time_dow_Wed -0.133 0.297 -0.447 6.55e- 1
23 time_dow_Thu 0.104 0.303 0.343 7.32e- 1
24 time_dow_Fri 0.280 0.292 0.960 3.37e- 1
25 time_dow_Sat 0.439 0.323 1.36 1.74e- 1
26 time_month_Feb 1.06 0.192 5.54 3.06e- 8
27 time_month_Mar 0.575 0.198 2.91 3.60e- 3
# A tibble: 981 × 23
.pred_0 .pred_1 spam to_mul…¹ from cc sent_…² time image
<dbl> <dbl> <fct> <fct> <fct> <int> <fct> <dttm> <dbl>
1 0.921 0.0786 0 0 1 0 0 2012-01-01 01:16:41 0
2 0.961 0.0391 0 0 1 0 0 2012-01-01 05:00:01 0
3 0.999 0.000988 0 0 1 1 1 2012-01-01 14:38:32 0
4 0.999 0.000591 0 0 1 1 1 2012-01-01 18:40:14 0
5 0.991 0.00878 0 0 1 0 0 2012-01-02 00:42:16 0
6 0.910 0.0902 0 0 1 0 0 2012-01-01 21:05:45 0
7 1.00 0.000108 0 1 1 3 0 2012-01-02 08:41:11 0
8 0.975 0.0248 0 0 1 0 0 2012-01-02 20:07:17 0
9 0.952 0.0477 0 0 1 0 0 2012-01-02 23:31:03 0
10 0.992 0.00819 0 1 1 0 0 2012-01-03 08:36:16 0
# … with 971 more rows, 14 more variables: attach <dbl>, dollar <dbl>,
# winner <fct>, inherit <dbl>, viagra <dbl>, password <dbl>, num_char <dbl>,
# line_breaks <int>, format <fct>, re_subj <fct>, exclaim_subj <dbl>,
# urgent_subj <fct>, exclaim_mess <dbl>, number <fct>, and abbreviated
# variable names ¹to_multiple, ²sent_email
Which of the following 10 emails will be misclassified?
# A tibble: 10 × 3
.pred_0 .pred_1 spam
<dbl> <dbl> <fct>
1 0.0750 0.925 0
2 0.110 0.890 0
3 0.116 0.884 1
4 0.127 0.873 1
5 0.170 0.830 1
6 0.189 0.811 1
7 0.204 0.796 1
8 0.208 0.792 1
9 0.224 0.776 1
10 0.295 0.705 1
| Email is spam | Email is not spam | |
|---|---|---|
| Email classified as spam | True positive | False positive (Type 1 error) |
| Email classified as not spam | False negative (Type 2 error) | True negative |
False negative rate = P(classified as not spam | Email spam) = FN / (TP + FN)
False positive rate = P(classified as spam | Email not spam) = FP / (FP + TN)
| Email is spam | Email is not spam | |
|---|---|---|
| Email classified as spam | True positive | False positive (Type 1 error) |
| Email classified as not spam | False negative (Type 2 error) | True negative |
If you were designing a spam filter, would you want sensitivity and specificity to be high or low? What are the trade-offs associated with each decision?
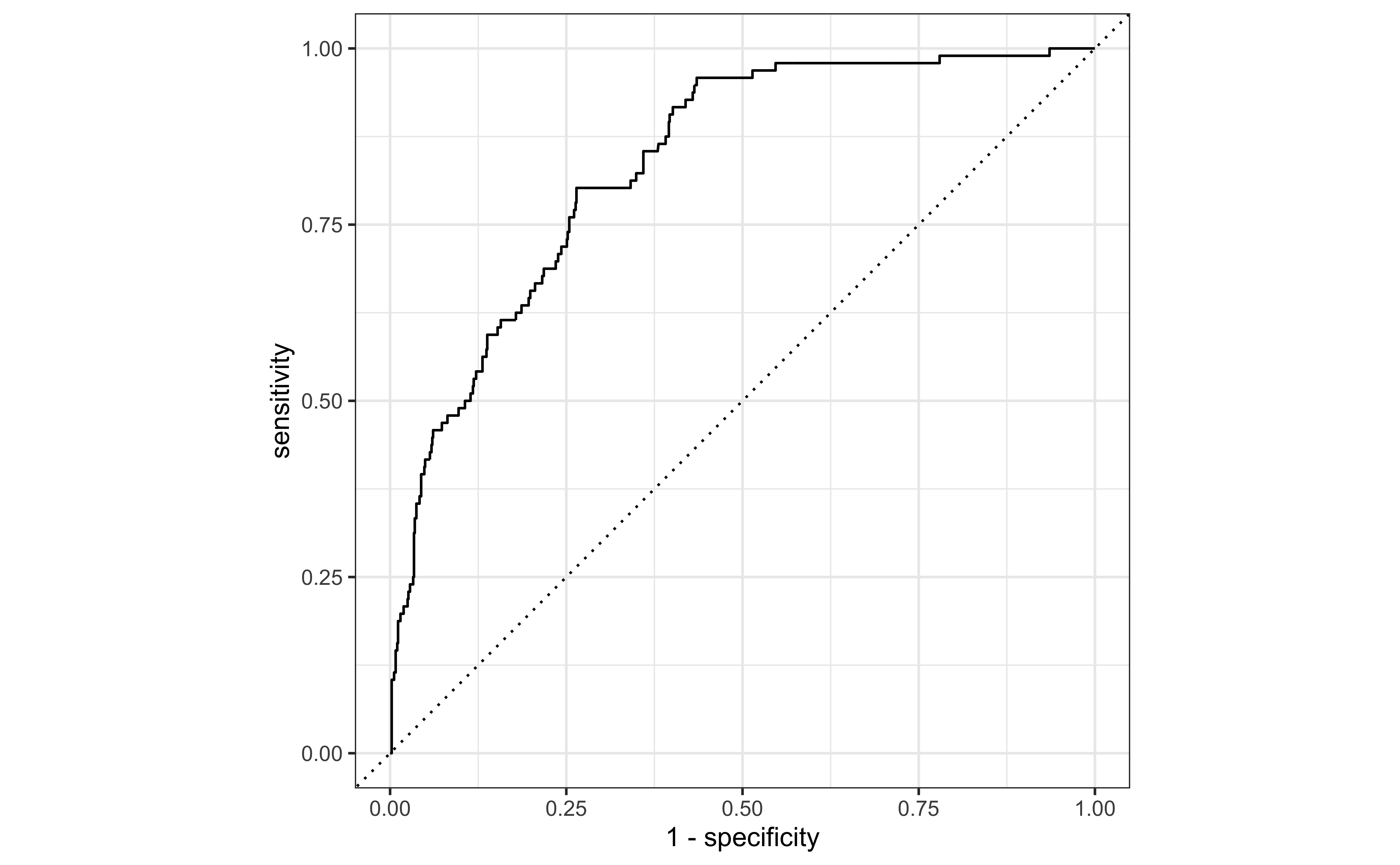
Receiver operating characteristic (ROC) curve+ plots the true positive rate (sensitivity) vs. false positive rate (1 - specificity).
# A tibble: 978 × 3
.threshold specificity sensitivity
<dbl> <dbl> <dbl>
1 -Inf 0 1
2 3.36e-10 0 1
3 2.27e- 9 0.00226 1
4 8.69e- 7 0.00339 1
5 9.89e- 7 0.00452 1
6 1.43e- 6 0.00565 1
7 9.16e- 6 0.00678 1
8 1.03e- 5 0.00791 1
9 2.58e- 5 0.00904 1
10 3.35e- 5 0.0102 1
# … with 968 more rows
# A tibble: 1 × 3
.metric .estimator .estimate
<chr> <chr> <dbl>
1 roc_auc binary 0.836
The area under the curve (AUC) can be used to assess how well the logistic model fits the data
AUC=0.5: model is a very bad fit (no better than a coin flip)
AUC close to 1: model is a good fit
Suppose we decide to label an email as spam if the model predicts the probability of spam to be more than 0.5.
| Email is not spam | Email is spam | |
|---|---|---|
| Email classified as not spam | 877 | 82 |
| Email classified as spam | 8 | 14 |
cutoff_prob <- 0.5
email_pred |>
mutate(
spam_pred = as_factor(if_else(.pred_1 >= cutoff_prob, 1, 0)),
spam = if_else(spam == 1, "Email is spam", "Email is not spam"),
spam_pred = if_else(spam_pred == 1, "Email classified as spam", "Email classified as not spam")
) |>
count(spam_pred, spam) |>
pivot_wider(names_from = spam, values_from = n) |>
kable(col.names = c("", "Email is not spam", "Email is spam"))Cross-tabulation of observed and predicted classes:
Suppose we decide to label an email as spam if the model predicts the probability of spam to be more than 0.25.
| Email is not spam | Email is spam | |
|---|---|---|
| Email classified as not spam | 830 | 52 |
| Email classified as spam | 55 | 44 |
cutoff_prob <- 0.25
email_pred |>
mutate(
spam_pred = as_factor(if_else(.pred_1 >= cutoff_prob, 1, 0)),
spam = if_else(spam == 1, "Email is spam", "Email is not spam"),
spam_pred = if_else(spam_pred == 1, "Email classified as spam", "Email classified as not spam")
) |>
count(spam_pred, spam) |>
pivot_wider(names_from = spam, values_from = n) |>
kable(col.names = c("", "Email is not spam", "Email is spam"))Suppose we decide to label an email as spam if the model predicts the probability of spam to be more than 0.75.
| Email is not spam | Email is spam | |
|---|---|---|
| Email classified as not spam | 883 | 89 |
| Email classified as spam | 2 | 7 |
cutoff_prob <- 0.75
email_pred |>
mutate(
spam_pred = as_factor(if_else(.pred_1 >= cutoff_prob, 1, 0)),
spam = if_else(spam == 1, "Email is spam", "Email is not spam"),
spam_pred = if_else(spam_pred == 1, "Email classified as spam", "Email classified as not spam")
) |>
count(spam_pred, spam) |>
pivot_wider(names_from = spam, values_from = n) |>
kable(col.names = c("", "Email is not spam", "Email is spam"))Use the ROC curve to determine the best cutoff probability

# A tibble: 10 × 3
.threshold specificity sensitivity
<dbl> <dbl> <dbl>
1 0.0769 0.736 0.792
2 0.0770 0.736 0.781
3 0.0780 0.737 0.781
4 0.0785 0.737 0.771
5 0.0786 0.738 0.771
6 0.0787 0.739 0.771
7 0.0789 0.739 0.760
8 0.0802 0.740 0.760
9 0.0802 0.741 0.760
10 0.0805 0.742 0.760

